Виды

ЧПД в целом можно разделить на три категории:
- Операционный.
- Финансовый.
- Инвестиционный.
Рассмотрим каждый из вариантов детально.
Операционные ЧПД
Основу операционных ЧПД составляют все расходы, имеющие непосредственное отношение к деятельности компании. Обычно этот такие статьи как заработная плата, аренда помещений или оборудования, расходы на закупку сырья, маркетинговые и рекламные расходы и т.д. Величина с положительным значением в этом аспекте формируется из выручки.
Финансовый
Сюда относятся внешние операции компании. Обычно они связаны с выплатой кредитов, с расчетами перед контрагентами по поставкам, выплатами инвесторам и вкладчикам. Положительные величины в данном случае – это полученные кредитные средства, вложения инвесторов и т.п.
Инвестиционный
Сюда относятся все операции, связанные с инвестиционной деятельностью предприятия. Основной объект таких операций – собственные активы. Величины в этом аспекте – это все проекты, покупки и вложения, которые предполагают извлечение прибыли в будущем.
ЧПД используется многими лицами, имеющими отношение к деятельности компании. Например, собственники предприятия и руководящий состав рассматривают его как источник достоверной информации о текущих делах компании. Также ЧПД служит основой при составлении стратегического, финансового, инвестиционного и других видов планирований. ЧПД может пригодиться даже конкурентам, чтобы оценить доли каждой фигуры на рынке.
Что означают положительный и отрицательный денежные потоки
Если компания зарабатывает больше, чем тратит — денежный поток положительный. У положительного потока несколько плюсов:
● Если срочно понадобятся деньги, компании не придется брать кредит.
● Компании выплачивают дивиденды из денежного потока: НЛМК (тикер NLMK), ММК (MAGN), « ЛУКОЙЛ» (LKOH), « ФосАгро», «Северсталь» (CHMF), «АЛРОСА» (ALRS).
Отрицательный поток может означать, что компания тратит больше, чем зарабатывает. Обычно это значит, что бизнес работает неэффективно. Хотя может приносить прибыль при этом.
Например, компания зарабатывает 1 млн рублей в год, но выплаты по кредитам перекрывают доходность. Такому бизнесу трудно найти нового заемщика, поэтому привлечь инвестиции в развитие компании проблематично.
Также компания не сможет платить дивиденды из заработанных средств, если денежный поток отрицательный: придется увеличивать долг или брать деньги из накоплений.
В такой ситуации оказался «Газпром», когда Владимир Путин рассказал об отсутствии FCF. Компании пришлось увеличивать долг и уменьшать накопления, чтобы выплатить дивиденды.
Классификация денежного потока
Пройдите наш авторский курс по выбору акций на фондовом рынке → обучающий курс
Бесплатный Экспресс-курс «Оценка инвестиционных проектов с нуля в Excel» от Ждановых. Получить доступ
Прежде чем классифицировать денежные потоки, финансовый оборот необходимо поделить на отрицательный и положительный. Ни в коем случае нельзя путать эти понятия. Отрицательный и положительный денежный поток представляет собой оттоки и притоки фирмы за определенный период. А финансовый оборот обозначает стоимостное выражение деятельности предприятия, в состав которого входят доходы и расходы компании.
| Классификационный признак денежных потоков | Вид финансового оборота | Описание |
| От деятельности предприятия | Операционный | Финансовый оборот от основной деятельности фирмы |
| Финансовый | Притоки и оттоки компании, связанные с осуществлением финансовой работы | |
| Инвестиционный | Расходы и доходы предприятия от инвестиционной деятельности | |
| По целостности | Общий | Финансовый оборот всей компании за определенный цикл |
| Цеховой | Денежные притоки и оттоки по отделам, цехам, подразделениям | |
| По отношению к фирме | Внутренний | Финансы для удовлетворения внутренних потребностей компании, например, для приобретения активов |
| Внешний | Денежные средства для осуществления внешних обязательств. Например, на расчеты с поставщиками и подрядчиками. | |
| По варианту определения | Чистый | Денежный поток, очищенный от расходов |
| Совокупный | Все финансовые обороты компании | |
| Дисконтированный | Финансовый поток будущего периода | |
| По объему | Избыточный | Денежный поток, достаточный для осуществления деятельности предприятия |
| Дефицитный | Отрицательное значение конечного результата деятельности компании | |
| По периоду | Краткосрочный | Финансовый оборот, рассчитанный за короткий промежуток времени |
| Долгосрочный | Денежный поток, определенный за продолжительное время | |
| По времени | Текущий | Финансовый оборот, существующий сегодня |
| Будущий (плановый) | Денежный поток будущего периода |
Чистый денежный поток
Чистый денежный поток представляет собой финансовый оборот компании, очищенный от затрат. Он показывает, сколько средств предприятие может направить на развитие, выплату дивидендов, на хранение или на осуществление иных нужд.
Показатели кэш-фло
Показатели кэш-фло делятся на два вида: чистый и свободный денежный поток, их также именуют Net Cash Flow, Free Cash Flow соответственно. Второй коэффициент также подразделяют на финансовый оборот для собственников фирмы и акционеров. Денежный поток для владельцев предприятия рассчитывают тремя методами, каждый из которых показывает разное значение коэффициента, имеющего собственное назначение:
- Определение финансового оборота первичным методом помогает оценить общий финансовый цикл компании.
- Расчет денежного потока причинным вариантом отражает факторы, повлиявшие на динамику израсходованных и полученных средств.
- Вычисление финансового оборота прогнозным методом помогает установить показатель будущего периода.
FCFE (денежный поток для акционеров) определяется как разница между первичным финансовым оборотом и обязательствами фирмы по уплате кредитов, а также процентов по ним.
Дисконтированный денежный поток
Дисконтированный денежный поток представляет собой финансовый оборот будущего периода. Он определяется с учетом ставки дисконтирования.
Как рассчитать чистый дисконтированный доход
Для расчета нужно знать сумму первоначальных инвестиций в проект, а также определить период времени, за который оценивается ЧДД. Рассмотрим подробнее, как рассчитать NPV.
Формула NPV
Так как ценность денег меняется каждый год, в формулу введен специальный коэффициент, рассчитываемый от ставки дисконтирования.
Сама формула NPV выглядит так:

где:
- NPV – показатель чистого дисконтированного дохода;
- IC – первоначальная сумма инвестиций;
- CFt – чистый денежный поток за период времени t, в котором оценивают ЧДД (то есть, разница доходов и расходов);
- i – ставка дисконтирования.
Иногда показатель инвестиций включают в основной блок формулы – но тогда нужно учесть, что это 0-й год реализации проекта (и делиться инвестиции будут на 1).
Говоря проще, нужно просуммировать значения чистого денежного потока за каждый год реализации инвестиционного проекта. Например, для проекта с 3-летним сроком реализации формула чистого дисконтированного дохода будет такой:

Таким образом, в зависимости от полученных данных можно оценить инвестиционную привлекательность проекта.
Учет инфляции при расчете NPV
Так как в расчете учитывается изменение ценности денег, обычно в расчет берется инфляция. Ставка дисконтирования из формулы – это показатель стоимости капитала, безрисковая ставка доходности или просто инфляция. Безрисковая ставка дисконтирования актуальна для облигаций федерального займа или срочных рублевых депозитов. Кроме того, ставку можно посчитать, используя показатели рентабельности, объема капитала и инвестиционных возможностей имеющихся активов.
А чтобы учесть как безрисковую доходность, так и инфляцию, ставку дисконтирования рассчитывают по формуле:
- R = (1 + r) * j, где:
- R – ставка дисконтирования;
- r – дисконт или норма прибыли, которую закладывают в проект;
- j – показатель инфляции.
Рентабельность инвестиционного проекта с учетом инфляции может быть представлена меньшей цифрой – но она все равно должна быть достаточной, чтобы инвестор получал прибыль.
Как правило, многие краткосрочные инвестиционные проекты предлагают к сравнению уже подсчитанные показатели, сведенные в специальные таблицы. Например, можно найти нужные данные на сайте Росстата или профильных исследовательских агентств.
Пример расчета
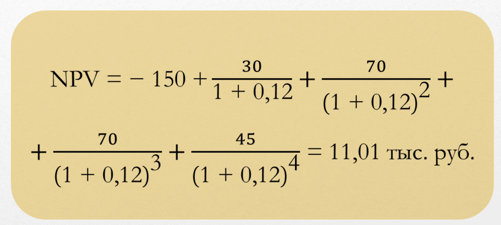
Для примера рассмотрим инвестиционный проект сроком на 4 года. Вложения составят 150 тысяч рублей, ставку дисконтирования примем равной 12% (это сейчас – максимально возможная безрисковая доходность), а предполагаемый объем денежных потоков оценим в 30, 70, 70 и 45 тысяч рублей на первый, второй, третий и четвертый годы соответственно.
Используем приведенную выше формулу расчета NPV. Стартуя с отрицательной цифры в 150 тысяч, прибавляем данные за каждый год последовательно:

В итоге получим показатель ЧДД, равный 11 012 рублей. NPV инвестиционного проекта выше нуля, а значит, в него можно вкладываться.
Сложности при расчетах
Особых математических сложностей при расчете NPV не возникает. Однако, чтобы избежать вычислений вручную, используют программы, причем достаточно даже возможностей таблиц Excel. Для этого нужно заполнить ячейки показателями ставки дисконтирования и суммы денежного потока
Важно, что данные первоначальных вложений нужно вносить со знаком «минус». Результат расчетов покажет сумму приведенных к данному моменту платежей в итоговой ячейке
Пример расчета (по данным выше) и формула выглядят так:

Разница с расчетом выше связана с тем, что Excel в расчете чистой приведенной стоимости (ЧПС) считает год инвестирования первым, тогда как обычно экономисты считают его нулевым. С другой стороны, в ряде источников встречается и такой подход, когда первый год в расчете уже считается вторым.
Вместе с тем, существуют сложности подсчета, с математикой никак не связанные. Дело в том, что на практике достоверно оценить показатели денежных потоков и ставки дисконтирования довольно сложно. Для первого из них проводят масштабный анализ, изучая эластичность спроса, конъюнктуру рынка, другие макро- и микроэкономические факторы.
Классификация и виды денежных потоков
Виды кэш флоу Денежный поток позволяет оценить правильность ведения деятельности компании и увидеть потенциальные перспективы ее развития. В связи с этим различают несколько видов денежного потока:
По балансу:
положительный и отрицательный. Первый показывает доходы компании (приток средств), второй — ее расходы (отток средств).
По виду хозяйственной деятельности:
операционный (прямые доходы и расходы от основной деятельности), финансовый (продажа долгосрочных активов и приобретение имущества с целью получения долгосрочной прибыли) и инвестиционный (взятие и погашение кредитов и займов).
По уровням управления:
кэш флоу компании в целом, отдельных подразделений и филиалов, отдельных проектов и операций.
По отношению к компании:
внутренний (средства для операций внутри компании) и внешний (для проведения сделок с контрагентами и партнерами).
По методу исчисления:
совокупный (общая сумма положительного и отрицательного денежных потоков) и чистый (разница между положительным и отрицательным кэш флоу).
По уровню достаточности:
избыточный (когда приток средств значительно превышает потребности компании, т.е. когда доходы намного больше расходов) и дефицитный (отток средств значительно превышает их приток в компанию).
По периоду:
краткосрочный (доходы и расходы компании за период до одного года) и долгосрочный (приток и отток денег за период больше одного года).
По важности для формирования отчета о финансовой деятельности:
приоритетный (доходы и расходы, в которых задействован большой объем денежных средств) и второстепенный (незначительные расходы и доходы, которые почти не влияют на результаты формирования итогового денежного потока).
По моменту времени:
текущий (денежный поток на текущий день расчета) и будущий (примерный показатель денежного потока в определенный день в будущем).
Если рассматривать классификацию денежного потока, согласно международным стандартам учета, то различают три вида:
- Кэш флоу по операционной деятельности — приток денег от продажи товаров или оказания услуг, а также расходы на оплату труда сотрудников компании и подрядчиков.
- Кэш флоу по инвестиционной деятельности — все доходы и расходы, связанные с любыми инвестициями компании — как входящими, так и исходящими.
- Кэш флоу по финансовой деятельности — средства, связанные с привлечением капитала, а также кредитов и займов.
Классификация денежных потоков на виды позволяет производит учет, анализ и планирование финансов компании.
Что показывает денежный поток
Значение денежного потока Данные о денежном потоке представляют особую ценность для инвесторов, так как документ позволяет увидеть, какая сумма от общего массива средств осталась в распоряжении компании, а какая пошла на покрытие расходов.
Исходя из этого различают положительные денежные потоки (показывают приток денег) и отрицательные (отображают отток денег). Соответственно, на основании этих данных инвесторы могут определить, насколько выгодно вкладываться в такую компанию.
Положительный денежный поток
Положительный денежный поток — это средства, которые поступают в компанию, т.е. приток денег в предприятие.
Положительный кэш флоу формируют следующие статьи доходов:
- Выручка от продажи товаров;
- Доходы от оказания услуг;
- Часть полученной прибыли, если компания участвует в общем бизнесе с другими предприятиями;
- Дивиденды и выплаты по процентам;
- Инвесторские вклады;
- Безвозмездная помощь от благотворительных организаций;
- Разница от курсов валют.
Отрицательный денежный поток
Отрицательный денежный поток Отрицательный денежный поток — это средства, потраченные предприятием на покрытие различных расходов и издержек, т.е. отток денег из компании.
Отрицательный cash flow формируют следующие виды платежей:
- Себестоимость продукции;
- Заработная плата;
- Амортизация оборудования;
- Исследования;
- Улучшение условий труда;
- Хозяйственные расходы;
- Налоги.
Пример расчета
Приведем пример расчета ЧДД по инвестиционному проекту, рассчитанному на 4 года. Инвестиции составят 150 000 рублей, за норму прибыли возьмем 12%. Предположим, что денежный поток будет в объеме 30 000, 70 000, 70 000 и 45 000 на первый, второй, третий и четвертый год соответственно.
NPV = ((30 000/ (1+12)1)) + ((70 000/ (1+12)2)) + ((70 000/ (1+12)3)) + ((45 000/ (1+45 000)4)) – 150 000
Получим результат – 11 012 рублей. Выходит, что через 4 года проект выйдет в плюс, но пока без учета инфляции. Можно поэкспериментировать с размером нормы прибыли или первоначальными вложениями, сроком реализации.
Назначение показателя NPV
Показатель чистого дисконтированного дохода позволяет определить ценность инвестиций в момент времени, давая представление о том, сколько вложенные инвестиции будут стоить завтра. Изучая NPV, можно предположить целесообразность вложений и сравнивать проекты, выбрать самый оптимальный.
В основе показателя лежит тот факт, что стоимость денег меняется во времени в силу различных факторов:
- Один из самых простых и понятных – инфляция, из-за роста цен меняется покупательная способность денег.
- Доходность от альтернативных инвестиций – например, инвестор может на старте не вкладываться в проект, а купить государственные облигации. Тогда доходность по этим облигациям и будет базой для сравнения (нет смысла рисковать, если можно получить гарантированную отдачу от бумаги).
- Отдача от инвестиций у конкурентов – если проект будет приносить меньше прибыли, чем у других компаний этой отрасли, это поставит бизнес в менее выгодное положение.
Соответственно, NPV – суммарный доход от инвестиций, из которого вычтена определенная часть. И эта часть соответствует тому, сколько стоимости потеряли вложенные деньги за срок реализации проекта.
Благодаря проводимым расчетам инвестор получает более полную картину и возможность оценить рентабельность проекта в данный момент времени.
Как рассчитать денежный поток
Сама фраза «денежный поток» заучит как музыка, не правда ли? Но этот музыкальный ряд для финансового менеджера раскладывается на элементы, как на ноты. Мы сегодня поговорим о том, как работают формулы расчета операционного денежного потока прямым и косвенным методом. Это интересно, поехали.
Что такое денежный поток и зачем его знать
В чисто бытовом значении мы все знаем, что это такое, — это те деньги, которые мы получили, часть из которых мы должны потратить обязательно, часть — желательно, а часть — если останутся. На финансовом языке поток этот называется Cash Flow (CF) и бывает положительным (поступления) и отрицательным (платежи).
Самым доступным методом расчета является, пожалуй, формула расчета операционного денежного потока по балансу предприятия. Поговорим о ней чуть позже, сначала давайте определимся, зачем вообще считать денежный поток (ДП).
Во-первых, планирование и точное знание поступлений и расходов в динамике позволяет фирме успешно маневрировать как своими финансами, так и привлеченными, дабы не допускать кассовых разрывов.
А во-вторых, расчет помогает легко справляться с вопросом: «Где деньги, Зин?». Это когда руководство недоумевает, почему денег на счетах полно, а в балансе убыток. Или еще хуже — по учету прибыли вагон, а денег нет.
Вот где вам пригодится формула чистого операционного денежного потока, вот чем вы наповал сразите любого руководителя — уверенностью и компетенцией!
Виды денежных потоков
В зависимости от направления деятельности предприятия формируются инвестиционный, операционный или финансовый потоки.
Операционный включает в себя такие вот ручейки:
- поступления от покупателей товаров, работ, услуг;
- оплату поставщикам за ценности и услуги, включаемые в состав себестоимости продукции в отчетном периоде;
- оплата труда персонала + страховые взносы.
Инвестиционный — это фактически капитальные вложения:
- оплата за объекты внеоборотных активов (приобретение, сооружение, создание);
- затраты по их транспортировке, монтажу, подготовке к эксплуатации;
- выплата процентов за пользование заемными средствами, направленными на приобретение (создание) ОС.
Финансовый поток вбирает:
- все займы и кредиты (выданные и полученные), проценты, комиссии, плату за их обслуживание;
- доходы и расходы от операций с ценными бумагами, собственными акциями, векселями.
Сливаясь воедино, эти три прекрасных ручья образуют Net Cash Flow (NCF) — чистый ДП. Математическая формула расчета чистого денежного потока максимально проста:
Считаем только деньги. Никакие обязательства, активы, прогнозируемые доходы и расходы и т. п. в расчете не участвуют.
Для получения всей полноты данных о движении средств на предприятии ЧДП рассчитывают для каждого направления: операционного, финансового и инвестиционного.
Не все бухгалтеры занимаются подобными расчетами, у них и так дел полно. Однако применение формул финансового анализа позволит денежкам фирмы не растекаться бесконтрольно во все стороны, образуя то стоячее болото, то водоворот, а плыть в верном направлении и в заданном русле.
Как рассчитать чистый денежный поток
Какую применить формулу, как рассчитать денежный поток, основываясь на данных одной только бухгалтерской отчетности? Чем отличается ЧП от ЧДП? Давайте погрузимся в сладостный мир цифр и расчетов.
Для определения ЧДП применяются прямой и косвенный методы расчета.
Прямой метод предполагает использование данных учетных регистров фирмы. Его, как правило, используют для внутреннего аудита движения денег.
Вот формула денежного потока от операционной деятельности для расчета прямым методом:
Анализ денежных потоков
Целью анализа денежных потоков является:
- выявление причин дефицита (избытка) денежных средств;
- определение источников поступления и направлений использования денежных средств.
Основным документом для изучения денежных потоков является отчет о движении денежных средств; методами анализа — прямой и косвенный.
Дефицит денежных средств свидетельствует о снижении ликвидности и утрате платежеспособности организации, избыток — о нерациональном расходовании средств и недополучении прибыли в связи с замедлением их оборачиваемости.
Причинами дефицита денежных средств могут быть:
- низкая рентабельность продаж, вызванная падением спроса или неэффективной ценовой политикой;
- отвлечение средств в излишние запасы товарноматериальных ценностей, их удорожание вследствие инфляции;
- большие капитальные затраты сверх имеющихся источников их покрытия;
- высокие налоги и дивиденды;
- чрезмерная доля заемного капитала и связанные с этим высокие выплаты на погашение кредитов, займов и процентов по ним;
- значительная дебиторская задолженность с неопределенными сроками погашения.
Отрицательные последствия дефицитного денежного потока проявляются:
- в снижении ликвидности и уровня платежеспособности организации;
- росте просроченной кредиторской задолженности поставщикам сырья и материалов;
- задержке выплаты заработной платы персоналу;
- повышении доли краткосрочной задолженности по кредитам;
- увеличении штрафных санкций, предъявляемых предприятию со стороны контрагентов;
- росте продолжительности финансового цикла.
Дефицит денежного потока в конечном счете способствует снижению рентабельности собственного капитала и активов предприятия. Длительный дефицит денежного потока является одним из факторов банкротства.
Причинами избыточного денежного потока могут быть:
распродажа активов, получение больших финансовых кредитов без соответствующего их освоения, падение рыночной активности.
Отрицательными последствиями избыточного денежного потока являются:
а) потеря реальной стоимости временно неиспользуемых денежных средств от инфляции;
б) потеря потенциального дохода от неиспользования денежных средств в производственном обороте или инвестиционном проекте.
Для нормально работающего предприятия избыточный денежный поток может быть только в краткосрочном периоде.
Отрицательный денежный поток не во всех случаях свидетельствует о неудовлетворительном прогнозе для предприятия. Неотложность инвестиционных программ или сезонные особенности производства и сбыта приводят к временному дефициту денежных средств, который покрывается за счет кредитов и займов.
Анализ источников поступления денежных средств чрезвычайно важен для финансовых менеджеров, так как лежит в основе инвестиционной, кредитной, заемной и дивидендной политики предприятия. Сущность каждой из них будет рассмотрена в последующих темах курса.
В качестве исходного документа для анализа рекомендуется использовать модель отчета о движении денежных средств, представленную в табл. 3.4.
Таблица 3.4
| Показатель | Сумма, ден. ед. | % |
|---|---|---|
| Источники денежных средств: | ||
| Денежные средства от текущей деятельности | 10 000 | 34,0 |
| Краткосрочные займы | 650 | 2,2 |
| Долгосрочные займы | 13 700 | 46,2 |
| Выпуск обыкновенных акций | 1800 | 6,0 |
| Эмиссия облигаций | 2700 | 9,1 |
| Выручка от продажи оборудования | 820 | 2,5 |
| Всего источников средств | 29 670 | 100 |
| Использовано денежных средств: | ||
| Текущая деятельность | 7800 | 26,4 |
| Приобретение оборудования | 12 800 | 40,3 |
| Покупка ценных бумаг | 1200 | 4,0 |
| Выплаченные дивиденды | 2310 | 7,8 |
| Погашение краткосрочных займов | 1300 | 4,4 |
| Погашение долгосрочных займов | 1560 | 5,3 |
| Свободный остаток денежных средств | 3500 | 11,8 |
| Всего использовано средств | 29 670 | 100 |
На основании данного отчета можно сделать следующие выводы: в анализируемом периоде лишь 34% поступивших средств было от основной деятельности, т. е. одна треть. Это не совсем нормальная ситуация; по всей видимости, она была вызвана недостаточными техническими возможностями предприятия. Понимая это, руководство вынужденно было активизировать финансовую деятельность — привлечь долгосрочный кредит (46,2% от всех поступлений), выпустить облигации (9,1% от поступлений) и 40,3% всех поступлений направить на приобретение оборудования, т. е. обновление производства.


























